蓬溪县2021年地质灾害隐患点公示
来源:蓬溪县自然资源和规划局
发布时间:2021-04-30 10:01
浏览次数:
字体: [
大
中
小
]
打印
附件:
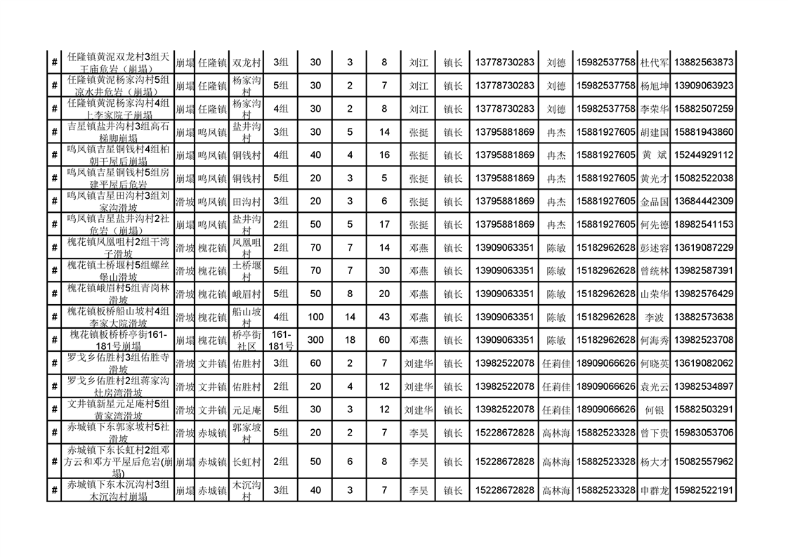
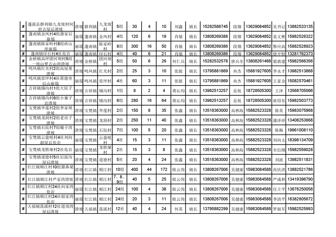
(2021-26)蓬溪县2021年地质灾害隐患点公示.xlsx
扫一扫在手机打开当前页